đź’ˇ
Current Projects
Origins of life is a fascinating topic to me, as it is very complex and requires a highly interdisciplinary approach. Since evolution is fundamental to life, the key to understanding its origins is finding the simplest possible chemistry that can evolve and could have also emerged spontaneously on early Earth. In the Baum lab, I am examining emergence of life as autocatalytic chemical consortia - or sets of chemical reactions where some species catalyze their own production.Â
Heritability & evolution in lipid vesicles
I am interested in whether simple compartments, such as fatty acid vesicles, can show heritability and respond to selection in a manner similar to extant biology. We have published a study discussing some of our findings regarding heritability in vesicle systems. Initially, we found possible evidence for heritability of physical traits in vesicle populations, specifically surface area to volume ratio as measured by Nile Red fluorescence.
Currently, I am testing whether vesicle populations can show a definitive response to selection. I conduct experiments with the goal to select for vesicles with desired properties, specifically - greatest turbidity, as it is an easy to measure parameter that is dependent on a wide range of vesicle traits. This is analogous to artificial selection of biological organisms – but applied to chemistry. As my vesicle system is rather simple, a response to selection would be a result of dynamics of vesicle formation and interaction, such as the matrix effect (Blochliger et al., 1998). A publication on these results is currently in review (see the preprint at Sokolskyi & Baum, 2026). In the future I plan on connecting my findings to the theoretically established concept of compositional inheritance (Segre et al., 2000) by conducting experiments with more compositionally diverse systems.
Currently, I am testing whether vesicle populations can show a definitive response to selection. I conduct experiments with the goal to select for vesicles with desired properties, specifically - greatest turbidity, as it is an easy to measure parameter that is dependent on a wide range of vesicle traits. This is analogous to artificial selection of biological organisms – but applied to chemistry. As my vesicle system is rather simple, a response to selection would be a result of dynamics of vesicle formation and interaction, such as the matrix effect (Blochliger et al., 1998). A publication on these results is currently in review (see the preprint at Sokolskyi & Baum, 2026). In the future I plan on connecting my findings to the theoretically established concept of compositional inheritance (Segre et al., 2000) by conducting experiments with more compositionally diverse systems.
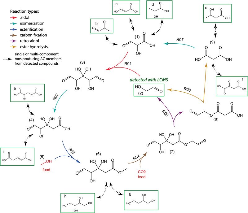
Emergence of chemical ecosystems: from chemistry to ecology & evolution
Using chemical ecosystem selection (CES) techniques we are searching for emergence of evolution-like dynamics and autocatalysis in complex "prebiotic soups" - mixtures of compounds likely present on early Earth. CES involves recursive transfers-with-dilution and allows us to monitor changes in chemical composition over multiple generations. I conducted several experiments of this type, processed using untargeted metabolomics workflows with liquid chromatography-mass spectrometry (LCMS). To asses chemical diversity, I analyze LCMS data with methods used in organismal ecology - as chemical ecosystems are essentially equivalent to biological ones. We developed some novel statistical techniques to quantify evolvability in "messy" prebiotic chemistry, that so far show possible evidence for heritability (Sokolskyi et al., 2024). We also developed a computational tool to assist with reconstructing chemical reaction networks from LCMS datasets called Rule-It (Cuevas-Zuviria & Sokolskyi, 2024).
Detecting seed-dependent autocatalysis
Computational models have shown that autocatalytic cycles (ACs) can sometimes be triggered by a one-time addition of a “seed” – a member species of the AC or a molecule that leads to production of a member species (Peng et al., 2022). Seed-dependent ACs could represent a mechanism for chemical memory, vital for emergence of biological evolution. Using LCMS, we look for seed-dependent ACs in prebiotic soups subjected to transfers-with-dilution and a one-time addition of candidate seed compounds in the beginning of the experiment. If a seed-dependent AC does not emerge, we expect the seed compound to be eventually diluted out of existence after multiple generations. Currently, I am working with meteorite (CM2 carbonaceous chondrites) samples from the NASA Antarctic Meteorite Collections to test whether ACs can emerge from meteorite impacts into simulated Hadean oceans. I have extracted soluble organic matter from several meteorites and am currently in the process of conducting seeding experiments where I introduce a small fraction of the extracts (<e-6 % v/v) into various "food sets" - or mixtures of compounds approximating the composition of Hadean environments.
Computational models have shown that autocatalytic cycles (ACs) can sometimes be triggered by a one-time addition of a “seed” – a member species of the AC or a molecule that leads to production of a member species (Peng et al., 2022). Seed-dependent ACs could represent a mechanism for chemical memory, vital for emergence of biological evolution. Using LCMS, we look for seed-dependent ACs in prebiotic soups subjected to transfers-with-dilution and a one-time addition of candidate seed compounds in the beginning of the experiment. If a seed-dependent AC does not emerge, we expect the seed compound to be eventually diluted out of existence after multiple generations. Currently, I am working with meteorite (CM2 carbonaceous chondrites) samples from the NASA Antarctic Meteorite Collections to test whether ACs can emerge from meteorite impacts into simulated Hadean oceans. I have extracted soluble organic matter from several meteorites and am currently in the process of conducting seeding experiments where I introduce a small fraction of the extracts (<e-6 % v/v) into various "food sets" - or mixtures of compounds approximating the composition of Hadean environments.
đź’¤
Past Projects
[Picture]
Scheme of the reductive TCA cycle reactions (top) and homologies between various rTCA enzymes (bottom; see Sokolskyi & DasSarma, 2023 for acronyms). Source: Sokolskyi & DasSarma, 2023.
Evolution of microbial metabolism: reductive TriCarboxylic Acid cycle (rTCA)
During Blue Marble Space Institute of Science (BMSIS) Young Scientist Program in the summer of 2021 I worked with Dr. Shiladitya DasSarma to study the evolution of reductive TCA cycle enzymes using a bioinformatical approach. We found that rTCA cycle evolution was highly complex and involved numerous horizontal gene transfers and we find it unlikely that it represents an ancestral carbon fixation process. Additionally, we found that syntrophy, or microbial mutualisms, may be involved in the functioning of rTCA. This highlights the role cooperative interactions could have played in the eovlution of metabolisms and, potentially, origins of life. This research was published in the International Journal of Astrobiology in 2023.
[Picture]
Poikilolaimus oxycercus worm, grown from compost in Dr. Leuthner's backyard.
C. elegans ecotoxicology and microbiome
From 2018-2021 I was part of the Meyer lab at Duke University. I worked with my mentor Dr. Tess Leuthner on examining the effect of environmental toxicants on mitochondrial DNA damage in C. elegans worms (Leuthner et al., 2022). I also worked on an independent research project studying the effects of Aflatoxin B1 on C. elegans gut microbiome. We found that when grown on a diverse compost-derived microbial substrate C. elegans become more resistant to aflatoxin toxicity (Sokolskyi et al., 2020). We also examined the microbiomes of Poikilolaimus oxycercus worms isolated from the same compost pile. Two publications on these projects are in the works!
Fossils & Vertebrate Paleontology
Fossils were how I became interested in science and since early school I was collecting fossil shark teeth from various places. I participated in multiple field trips from 2013-2021 to Cretaceous deposits in Kaniv Natural Reserve with the help of Dr. Lilia Popova from TSKNU. We published a description of this locality in 2015: Popova et al., 2015. Then with the help of Dr. Guillaume Guinot from University of Montpellier, France we published a detailed description of Kaniv shark fauna: Sokolskyi & Guinot, 2021. I also recently published a brief description of the first pterosaur findings from the region.
While studying in North Carolina in 2019 I worked with Dr. Lindsay Zanno in NC Museum of Natural Sciences to study tooth replacement in a dinosaur from Utah: Sokolskyi et al., 2019. I also participated in a 2-week field trip to Arches National Park, UT in the summer of 2019.
While studying in North Carolina in 2019 I worked with Dr. Lindsay Zanno in NC Museum of Natural Sciences to study tooth replacement in a dinosaur from Utah: Sokolskyi et al., 2019. I also participated in a 2-week field trip to Arches National Park, UT in the summer of 2019.